
Геометрия, 10 класс
Готов
Вопрос от 1723 дня назад
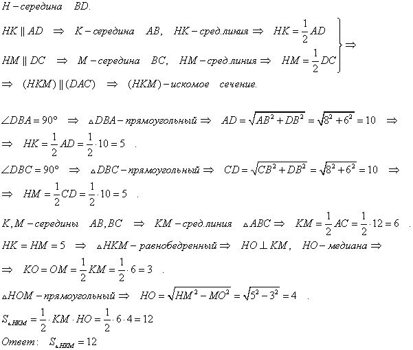
в тетраэдре DABC угол DBA=DBC=90 градусов, DB=6, AB=BC=8, AC=12. постройте сечение тетраэдра плоскостью, проходящей через середину DB и параллельной плоскости ADC. Найдите площадь сечения.
Ответ от

