Математика, 11 класс
Готов
Вопрос от 2211 день назад
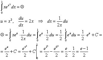
Помогите решить интеграл
Ответ от
Готов
Вопрос от 2211 день назад
Помогите решить интеграл
Ответ от