Вопрос.ру
Геометрия, 8 класс
Готов
Вопрос от
#36515
2136 дней назад
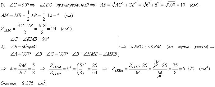
Номер 331
Ответ от
Оксана
Вернуться к списку вопросов
Сейчас задают
Войти