Геометрия, 8 класс
Готов
Вопрос от 2286 дней назад
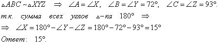
Уровень С номер 1.
Ответ от
Уровень С номер 1.
Готов
Вопрос от 2286 дней назад
Уровень С номер 1.
Ответ от
Уровень С номер 1.
И Уровень С номер 2 если можно?
Прочитайте, пожалуйста, правила - в одном вопросе не более одного задания. Каждая буква - отдельное упражнение (т.е. 1 вопрос=1 пример).