Вопрос.ру
Алгебра, 10 класс
Готов
Вопрос от
Галина
2297 дней назад
1.154
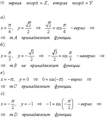
Ответ от
Оксана
Вернуться к списку вопросов
Сейчас задают
Войти