Вопрос.ру
Алгебра, 8 класс
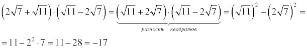
Готов
Вопрос от
Алиса
2350 дней назад
Помагите с 6
Ответ от
Оксана
Вернуться к списку вопросов
Сейчас задают
Войти