Вопрос.ру
Математика, 11 класс
Готов
Вопрос от
Андрій
2333 дня назад
1 задание
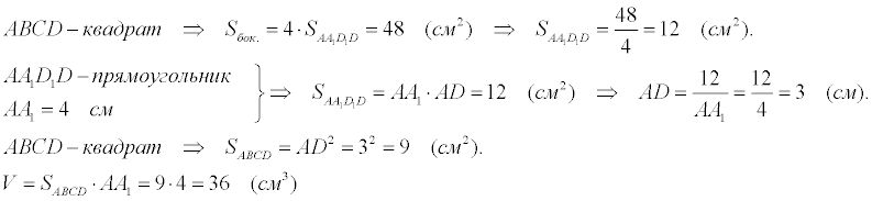
Ответ от
Оксана
Вернуться к списку вопросов
Сейчас задают
Войти