Математика, 10 класс
Готов
Вопрос от 2489 дней назад
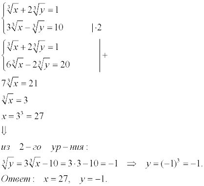
Помогите пожалуйста с номером 421 пример а)
Ответ от
Готов
Вопрос от 2489 дней назад
Помогите пожалуйста с номером 421 пример а)
Ответ от