Вопрос.ру
Алгебра, 7 класс
Готов
Вопрос от
Настя
2628 дней назад
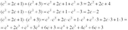
Выполните 2 номер
Ответ от
Оксана
Вернуться к списку вопросов
Сейчас задают
Войти