Вопрос.ру
Математика, 7 класс
Готов
Вопрос от
Гузель Галимова
2637 дней назад
пж
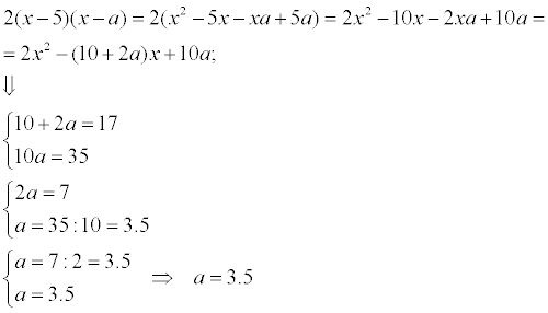
Ответ от
Оксана
Вернуться к списку вопросов
Сейчас задают
Войти