 
        Алгебра, 9 класс
Готов
Вопрос от 2522 дня назад
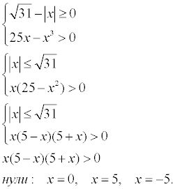
10 zadanie;
 
                        Ответ от
 
                                             
                                             
                                     
        Готов
Вопрос от 2522 дня назад
10 zadanie;
 
                        Ответ от
 
                                             
                                             
                                    
С объяснением, пожалуйста